MDA-MB-231-Luc

Inquiry now
RQP30106L
I. Introduction
Host Cell: MDA-MB-231(ER,PR, HER2 negative)
Expressed gene: Luciferase
Stability: 32 passages (in-house test, that not means the cell line will be instable beyond the passages we tested.)
Freeze Medium: 90% FBS+10% DMSO
Culture Medium: DMEM+10%FBS+2 ug/ml puromycin
Mycoplasma Status: Negative
Storage: Liquid nitrogen

II. Description of Host Cell Line
Organism: Homo sapiens, human
Tissue: Mammary gland/breast; derived from metastatic site: pleural effusion
Disease: Adenocarcinoma
Morphology: Epithelial
Growth Properties: Adherent

III. Representative Data

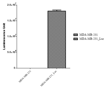
Figure. Detect Luciferase assay by Promega Bright-Glo Luciferase Assay System.
The number of Luminescence signal is 551±36(Mean±SD) on MDA-MB-231 cells while 18434541±482490(Mean±SD) on MDA-MB-231-Luc cells.


IV. Stablity Test

Figure. Stablity test results. MDA-MB-231-Luc cells showed at least 32 passage stability with similar luminescence unit.


Promotions

Related Services